Статистика по изображению

848 КБ

Идентификатор изображения:97175
Размер файла:848 КБ
Автор:NekKrios58
Опубликовано:08.09.2019 15:12 MSK
Находится на сайте, дней:2419
Уникальных просмотров:556
Комментариев:2

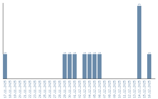
Динамика просмотров по датам