Statystyki dotyczące zdjęcia

843 KB

Identyfikator zdjęcia:91920
Rozmiar pliku:843 KB
Autor:Oleg-BY
Opublikowano:18.01.2021 21:42 MSK
Znajduje się na stronie (dni):1789
Wyświetleń:324
Komentarzy:0

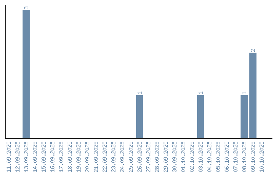
Dynamika wyświetleń (według dat)