Статистика по изображению

582 КБ

Идентификатор изображения:9041
Размер файла:582 КБ
Автор:ER2-1017
Опубликовано:26.02.2020 20:56 MSK
Находится на сайте, дней:2240
Уникальных просмотров:648
Комментариев:9

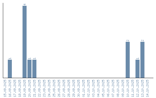
Динамика просмотров по датам