Статистика по изображению

593 КБ

Идентификатор изображения:86143
Размер файла:593 КБ
Автор:Виталий
Опубликовано:20.03.2019 20:37 MSK
Находится на сайте, дней:2487
Уникальных просмотров:609
Комментариев:6

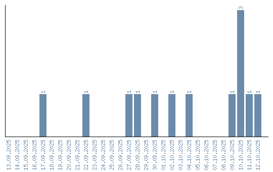
Динамика просмотров по датам