Statistics about the image

698 KB

Identifier of the image:83881
File size:698 KB
Author:Дядя Кит
Published:06.03.2015 23:52 MSK
Published on the website, days:3916
Unique views:322
Comments:0

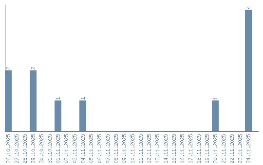
Views dynamics by dates