Статистика по изображению

468 КБ

Идентификатор изображения:82166
Размер файла:468 КБ
Автор:Макс Анисимов
Опубликовано:04.07.2016 10:23 MSK
Находится на сайте, дней:3384
Уникальных просмотров:529
Комментариев:5

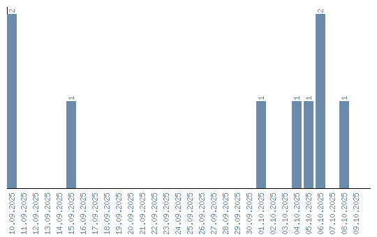
Динамика просмотров по датам