Statistics about the image

409 KB

Identifier of the image:75320
File size:409 KB
ავტორი:motowoz
Published:13.10.2012 20:31 MSK
Published on the website, days:4751
Unique views:330
Comments:0

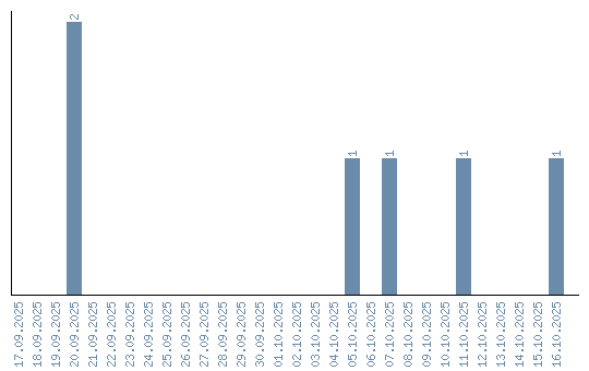
Views dynamics by dates