Статистика по изображению

597 КБ

Идентификатор изображения:74576
Размер файла:597 КБ
Автор:Кирилл Широков
Опубликовано:20.01.2019 23:57 MSK
Находится на сайте, дней:2544
Уникальных просмотров:494
Комментариев:0

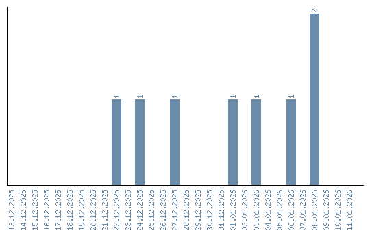
Динамика просмотров по датам