Статистика по изображению

911 КБ

Идентификатор изображения:74234
Размер файла:911 КБ
Автор:Кирилл Широков
Опубликовано:15.04.2019 00:14 MSK
Находится на сайте, дней:2466
Уникальных просмотров:544
Комментариев:0

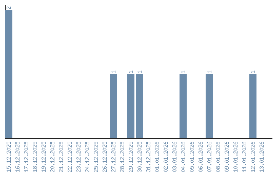
Динамика просмотров по датам