Статистика по изображению

695 КБ

Идентификатор изображения:6411
Размер файла:695 КБ
Автор:Данил Козлов
Опубликовано:26.05.2019 02:07 MSK
Находится на сайте, дней:2517
Уникальных просмотров:614
Комментариев:0

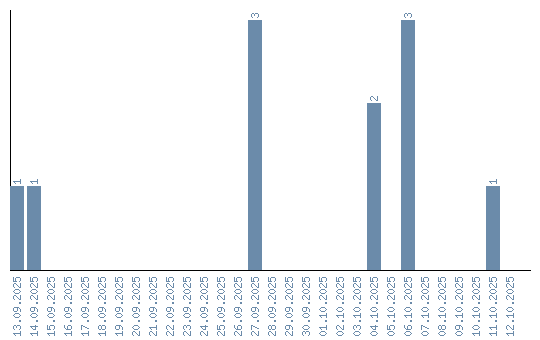
Динамика просмотров по датам