Статистика по изображению

702 КБ

Идентификатор изображения:50153
Размер файла:702 КБ
Автор:Serg73
Опубликовано:24.05.2021 10:39 MSK
Находится на сайте, дней:1714
Уникальных просмотров:591
Комментариев:0

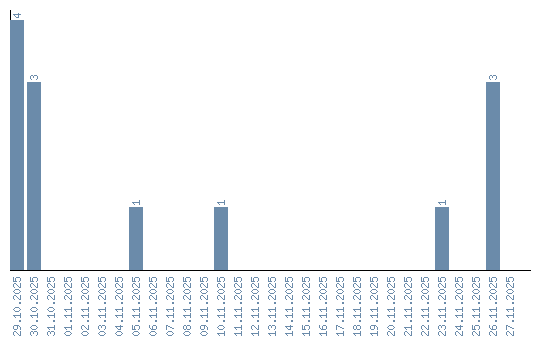
Динамика просмотров по датам