Statystyki dotyczące zdjęcia

616 KB

Identyfikator zdjęcia:30540
Rozmiar pliku:616 KB
Autor:albertrin
Opublikowano:02.05.2021 14:48 MSK
Znajduje się na stronie (dni):1680
Wyświetleń:419
Komentarzy:0

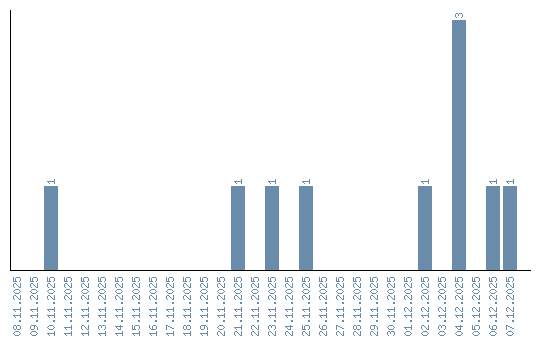
Dynamika wyświetleń (według dat)