Статистика по изображению

125 КБ

Идентификатор изображения:299561
Размер файла:125 КБ
Прислал:eestistorm
Опубликовано:09.05.2019 23:51 MSK
Находится на сайте, дней:2562
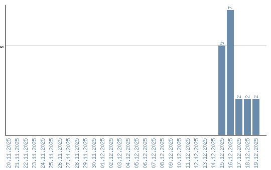
Уникальных просмотров:82
Комментариев:4

Динамика просмотров по датам