Статистика по изображению

735 КБ

Идентификатор изображения:298190
Размер файла:735 КБ
Автор:Bahnbilder von W. and H. Brutzer
Опубликовано:25.11.2025 21:57 MSK
Находится на сайте, дней:106
Уникальных просмотров:273
Комментариев:0

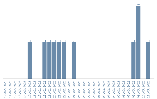
Динамика просмотров по датам