Статистика по изображению

912 КБ

Идентификатор изображения:296679
Размер файла:912 КБ
Прислал:Bahnbilder von W. and H. Brutzer
Опубликовано:05.11.2025 14:31 MSK
Находится на сайте, дней:161
Уникальных просмотров:150
Комментариев:0

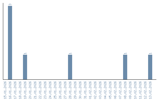
Динамика просмотров по датам