Статистика по изображению

674 КБ

Идентификатор изображения:286904
Размер файла:674 КБ
Автор:Bahnbilder von W. and H. Brutzer
Опубликовано:07.07.2025 06:33 MSK
Находится на сайте, дней:282
Уникальных просмотров:219
Комментариев:0

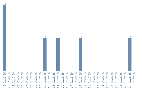
Динамика просмотров по датам