Статистика по изображению

798 КБ

Идентификатор изображения:284955
Размер файла:798 КБ
Автор:Воздух Свободы
Опубликовано:14.06.2025 13:53 MSK
Находится на сайте, дней:301
Уникальных просмотров:368
Комментариев:0

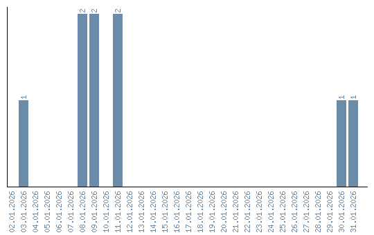
Динамика просмотров по датам