Статистика по изображению

867 КБ

Идентификатор изображения:283473
Размер файла:867 КБ
Автор:Bahnbilder von W. and H. Brutzer
Опубликовано:29.05.2025 04:00 MSK
Находится на сайте, дней:260
Уникальных просмотров:248
Комментариев:0

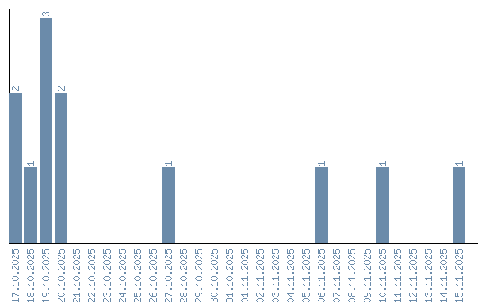
Динамика просмотров по датам