Статистика по изображению

742 КБ

Идентификатор изображения:282096
Размер файла:742 КБ
Прислал:Bahnbilder von W. and H. Brutzer
Опубликовано:16.05.2025 14:13 MSK
Находится на сайте, дней:359
Уникальных просмотров:299
Комментариев:0

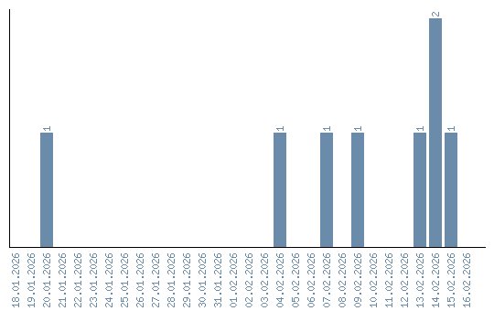
Динамика просмотров по датам