Статистика по изображению

454 КБ

Идентификатор изображения:281552
Размер файла:454 КБ
Автор:Воздух Свободы
Опубликовано:11.05.2025 09:07 MSK
Находится на сайте, дней:261
Уникальных просмотров:223
Комментариев:0

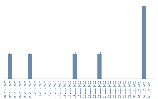
Динамика просмотров по датам