Статистика по изображению

777 КБ

Идентификатор изображения:278616
Размер файла:777 КБ
Автор:Bahnbilder von W. and H. Brutzer
Опубликовано:12.04.2025 13:39 MSK
Находится на сайте, дней:292
Уникальных просмотров:325
Комментариев:0

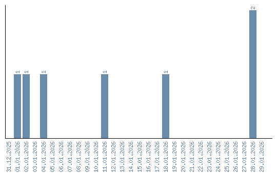
Динамика просмотров по датам