Статистика по изображению

720 КБ

Идентификатор изображения:275902
Размер файла:720 КБ
Автор:Bahnbilder von W. and H. Brutzer
Опубликовано:23.03.2025 19:45 MSK
Находится на сайте, дней:333
Уникальных просмотров:290
Комментариев:0

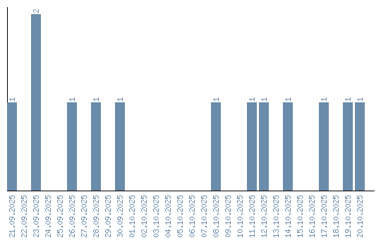
Динамика просмотров по датам