Статистика по изображению

782 КБ

Идентификатор изображения:269865
Размер файла:782 КБ
Автор:RiV
Опубликовано:29.01.2025 20:47 MSK
Находится на сайте, дней:422
Уникальных просмотров:1527
Комментариев:5

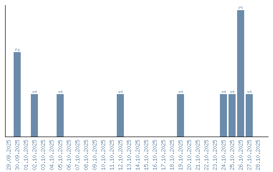
Динамика просмотров по датам