Statystyki dotyczące zdjęcia

360 KB

Identyfikator zdjęcia:268877
Rozmiar pliku:360 KB
Autor:Воздух Свободы
Opublikowano:20.01.2025 11:28 MSK
Znajduje się na stronie (dni):350
Wyświetleń:310
Komentarzy:0

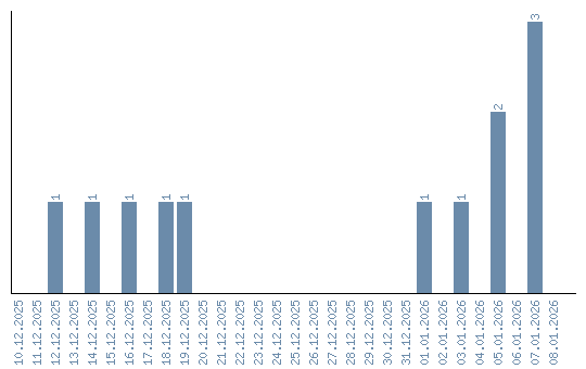
Dynamika wyświetleń (według dat)