Statystyki dotyczące zdjęcia

767 KB

Identyfikator zdjęcia:268634
Rozmiar pliku:767 KB
Autor:Воздух Свободы
Opublikowano:17.01.2025 19:02 MSK
Znajduje się na stronie (dni):382
Wyświetleń:345
Komentarzy:0

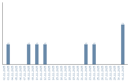
Dynamika wyświetleń (według dat)