Статистика по изображению

528 КБ

Идентификатор изображения:263869
Размер файла:528 КБ
Прислал:Lasselan
Опубликовано:26.11.2024 21:59 MSK
Находится на сайте, дней:409
Уникальных просмотров:386
Комментариев:6

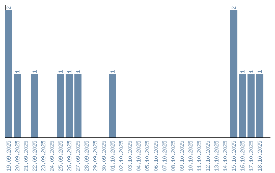
Динамика просмотров по датам