Статистика по изображению

441 КБ

Идентификатор изображения:261777
Размер файла:441 КБ
Автор:Воздух Свободы
Опубликовано:09.09.2015 16:34 MSK
Находится на сайте, дней:3827
Уникальных просмотров:257
Комментариев:5

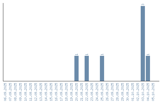
Динамика просмотров по датам