Статистика по изображению

316 КБ

Идентификатор изображения:256177
Размер файла:316 КБ
Автор:01-06
Опубликовано:15.09.2024 07:27 MSK
Находится на сайте, дней:483
Уникальных просмотров:442
Комментариев:0

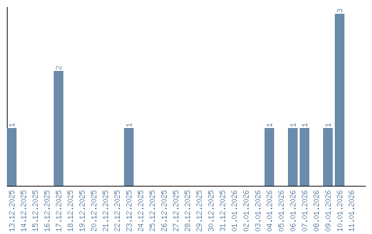
Динамика просмотров по датам