Statystyki dotyczące zdjęcia

380 KB

Identyfikator zdjęcia:255424
Rozmiar pliku:380 KB
Autor:Leha
Opublikowano:04.09.2024 20:12 MSK
Znajduje się na stronie (dni):497
Wyświetleń:382
Komentarzy:0

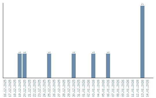
Dynamika wyświetleń (według dat)