Статистика по изображению

977 КБ

Идентификатор изображения:254339
Размер файла:977 КБ
Автор:Bahnbilder von W. and H. Brutzer
Опубликовано:21.08.2024 11:37 MSK
Находится на сайте, дней:543
Уникальных просмотров:459
Комментариев:0

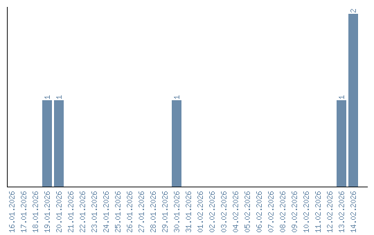
Динамика просмотров по датам