Статистика по изображению

446 КБ

Идентификатор изображения:254082
Размер файла:446 КБ
Автор:railman
Опубликовано:19.08.2024 00:28 MSK
Находится на сайте, дней:508
Уникальных просмотров:741
Комментариев:0

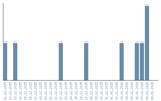
Динамика просмотров по датам