Statistics about the image

819 KB

Identifier of the image:253598
File size:819 KB
Objavio:Bahnbilder von W. and H. Brutzer
Published:12.08.2024 17:24 MSK
Published on the website, days:513
Unique views:488
Comments:0

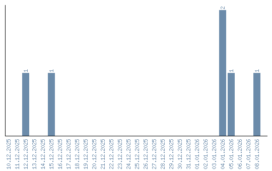
Views dynamics by dates