Статистика по изображению

753 КБ

Идентификатор изображения:253595
Размер файла:753 КБ
Прислал:Bahnbilder von W. and H. Brutzer
Опубликовано:12.08.2024 17:22 MSK
Находится на сайте, дней:594
Уникальных просмотров:297
Комментариев:0

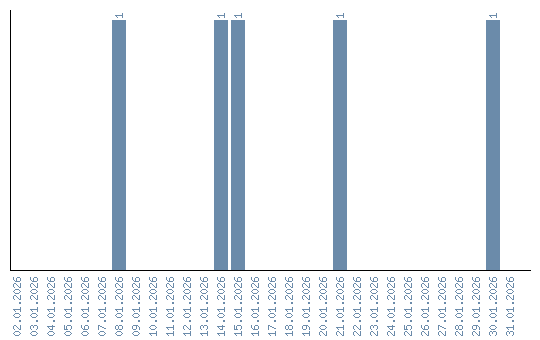
Динамика просмотров по датам