Статистика по изображению

691 КБ

Идентификатор изображения:253281
Размер файла:691 КБ
Автор:Воздух Свободы
Опубликовано:07.08.2024 15:44 MSK
Находится на сайте, дней:576
Уникальных просмотров:317
Комментариев:0

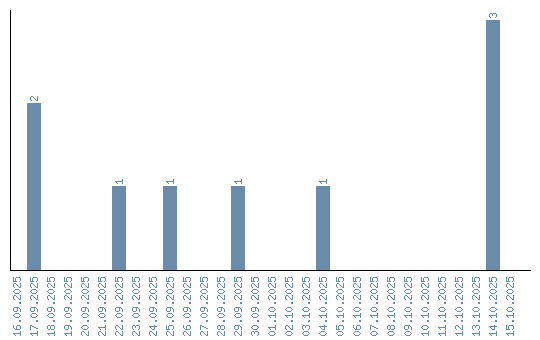
Динамика просмотров по датам