Статистика по изображению

776 КБ

Идентификатор изображения:249942
Размер файла:776 КБ
Автор:RiV
Опубликовано:27.06.2024 03:03 MSK
Находится на сайте, дней:682
Уникальных просмотров:1042
Комментариев:1

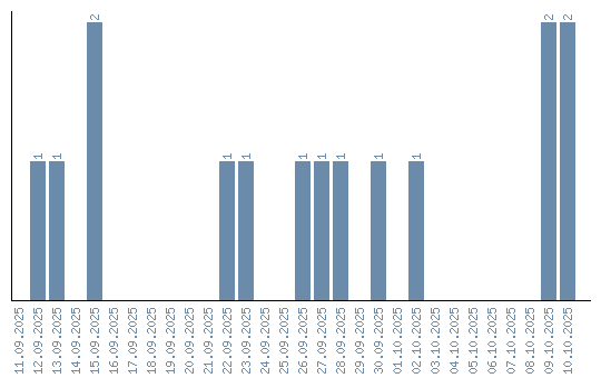
Динамика просмотров по датам