Статистика по изображению

600 КБ

Идентификатор изображения:245444
Размер файла:600 КБ
Автор:Bahnbilder von W. and H. Brutzer
Опубликовано:13.05.2024 16:09 MSK
Находится на сайте, дней:666
Уникальных просмотров:350
Комментариев:0

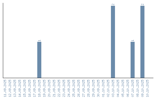
Динамика просмотров по датам