Статистика по изображению

754 КБ

Идентификатор изображения:245441
Размер файла:754 КБ
Автор:Bahnbilder von W. and H. Brutzer
Опубликовано:13.05.2024 16:09 MSK
Находится на сайте, дней:709
Уникальных просмотров:757
Комментариев:2

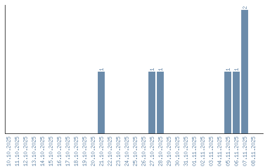
Динамика просмотров по датам