Статистика по изображению

789 КБ

Идентификатор изображения:244303
Размер файла:789 КБ
Прислал:Bahnbilder von W. and H. Brutzer
Опубликовано:02.05.2024 18:12 MSK
Находится на сайте, дней:639
Уникальных просмотров:493
Комментариев:0

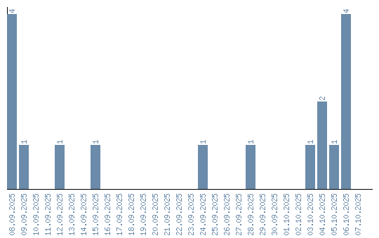
Динамика просмотров по датам