სარკინიგზო მანქანების მონაცემთა ბაზა
მოდელები
სისტემების სია
დამატებითი
ფოტოკონკურსი
სხვადსხვა გალერეა
პირდაპირი
ჩანაცვლებული სურათები
საიტები
RG Клуб
კომენტარები
განახლებები
ახალი ფოტოები
სიახლეების სია
ყველა განახლება
დახმარება
საიტის წესები
უკუკავშირი
ძებნა
სურათების ძებნა
ტრანსპორტის ძებნა
კომენტარების ძებნა
ავტორების ძებნა
შესვლა
რეგისტრაცია
ქართული ენა
Русский
Polski
ქართული ენა
Hrvatski
English
Statistics about the image
Identifier of the image:
244242
File size:
237 KB
ავტორი:
Юрий
Published:
01.05.2024 19:43 MSK
Published on the website, days:
597
Unique views:
777
Comments:
0
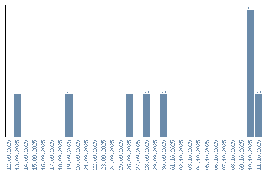
Views dynamics by dates
მთავარი გვერდი
წესები
სარედაქციო დაფა
მუქი თემა
© საიტის ადმინისტრაცია და სურათების ავტორები, 2022—2025
სურათების და სხვა ინფორმაციის გამოყენება ავტორის უფლების გარეშე აკრძალულია.