Статистика по изображению

541 КБ

Идентификатор изображения:244097
Размер файла:541 КБ
Автор:Bahnbilder von W. and H. Brutzer
Опубликовано:30.04.2024 15:01 MSK
Находится на сайте, дней:641
Уникальных просмотров:506
Комментариев:0

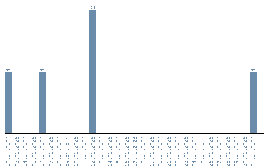
Динамика просмотров по датам