Статистика по изображению

633 КБ

Идентификатор изображения:243448
Размер файла:633 КБ
Автор:Bahnbilder von W. and H. Brutzer
Опубликовано:26.04.2024 15:16 MSK
Находится на сайте, дней:620
Уникальных просмотров:401
Комментариев:0

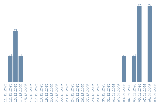
Динамика просмотров по датам