Статистика по изображению

755 КБ

Идентификатор изображения:243185
Размер файла:755 КБ
Прислал:Bahnbilder von W. and H. Brutzer
Опубликовано:23.04.2024 14:55 MSK
Находится на сайте, дней:649
Уникальных просмотров:394
Комментариев:0

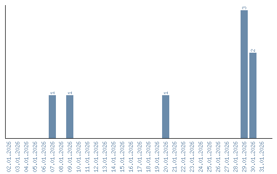
Динамика просмотров по датам