Статистика по изображению

695 КБ

Идентификатор изображения:243007
Размер файла:695 КБ
Прислал:Bahnbilder von W. and H. Brutzer
Опубликовано:21.04.2024 15:42 MSK
Находится на сайте, дней:706
Уникальных просмотров:439
Комментариев:0

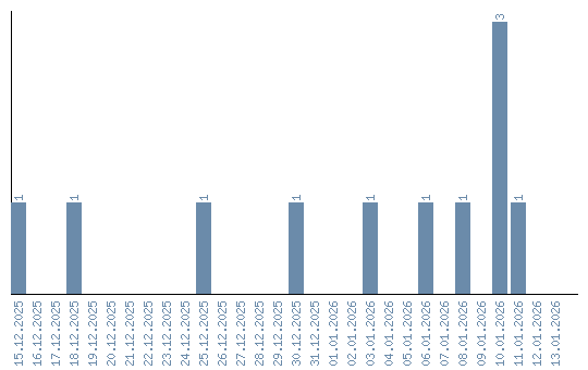
Динамика просмотров по датам