Статистика по изображению

510 КБ

Идентификатор изображения:242438
Размер файла:510 КБ
Автор:Bahnbilder von W. and H. Brutzer
Опубликовано:15.04.2024 16:10 MSK
Находится на сайте, дней:675
Уникальных просмотров:620
Комментариев:3

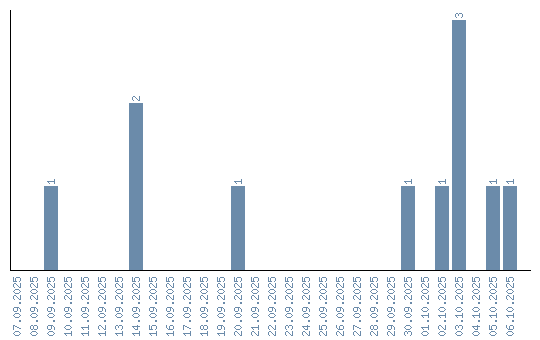
Динамика просмотров по датам