Статистика по изображению

811 КБ

Идентификатор изображения:240839
Размер файла:811 КБ
Прислал:Bahnbilder von W. and H. Brutzer
Опубликовано:29.03.2024 04:18 MSK
Находится на сайте, дней:759
Уникальных просмотров:495
Комментариев:0

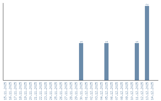
Динамика просмотров по датам