Статистика по изображению

735 КБ

Идентификатор изображения:240387
Размер файла:735 КБ
Автор:Bahnbilder von W. and H. Brutzer
Опубликовано:23.03.2024 07:53 MSK
Находится на сайте, дней:657
Уникальных просмотров:692
Комментариев:0

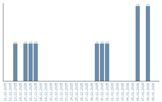
Динамика просмотров по датам