Статистика по изображению

381 КБ

Идентификатор изображения:239736
Размер файла:381 КБ
Прислал:Дмитрий Закутный
Опубликовано:14.03.2024 15:08 MSK
Находится на сайте, дней:618
Уникальных просмотров:420
Комментариев:0

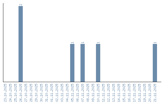
Динамика просмотров по датам