Статистика по изображению

858 КБ

Идентификатор изображения:238367
Размер файла:858 КБ
Прислал:Bahnbilder von W. and H. Brutzer
Опубликовано:27.02.2024 02:06 MSK
Находится на сайте, дней:769
Уникальных просмотров:542
Комментариев:1

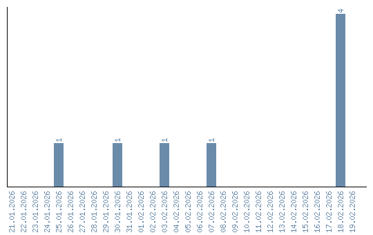
Динамика просмотров по датам