Статистика по изображению

512 КБ

Идентификатор изображения:235384
Размер файла:512 КБ
Автор:Воздух Свободы
Опубликовано:25.01.2024 15:23 MSK
Находится на сайте, дней:753
Уникальных просмотров:644
Комментариев:0

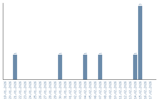
Динамика просмотров по датам