Статистика по изображению

329 КБ

Идентификатор изображения:234859
Размер файла:329 КБ
Автор:Сергей ВМ
Опубликовано:17.01.2024 19:54 MSK
Находится на сайте, дней:760
Уникальных просмотров:923
Комментариев:2

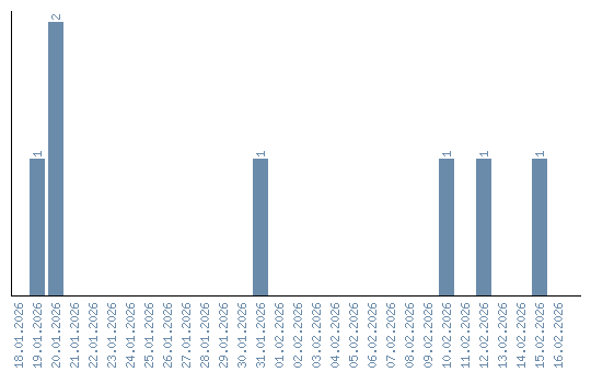
Динамика просмотров по датам